Характеристики
Подача, м3/ч
—
4.2
Напор, м
—
8.0
По запросу
Нашли дешевле?
Под заказ
Наши менеджеры обязательно свяжутся с вами и уточнят условия заказа
Описание
Циркуляционный насос с электронным регулированием для систем отопления и кондиционирования воздуха, одинарный с резьбовым соединением
* Обязательным параметром циркуляционных насосов высокой энергоэффективности является коэффициент EEI ≤ 0,19
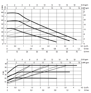
Справа от картинки даны крайние точки (подача при нулевом напоре, напор при нулевой подаче).
Подробные характеристики приведены в таблице.


Технические характеристики
| Модель |
Межосевое расстояние, мм |
Присоединение | Питание, В | P1 макс., Вт | In, А | ЕЕI* | Мин. давление на всасе | |
| t° | 90° | |||||||
|
EVOSTA 3 80/180X 1” 1/4 |
180 | 1 1/4 "F | 1*230V∼ | 55 | 0,053-0,47 | 0,19 | м.вод.ст | 10 |
* Обязательным параметром циркуляционных насосов высокой энергоэффективности является коэффициент EEI ≤ 0,19
Справа от картинки даны крайние точки (подача при нулевом напоре, напор при нулевой подаче).
Подробные характеристики приведены в таблице.
| Подача, м3/ч | 0 | 0,6 | 0,9 | 1,2 | 2,7 | 3,3 | 3,9 | 4,2 |
| Напор, м | 8,0 | 8,0 | 7,2 | 6,5 | 3,7 | 2,6 | 1,6 | 1,0 |

Габаритные размеры

| Модель | L | L1 | B | B1 | B2 | H | F | Вес, кг |
| EVOSTA 3 80/180X 1” 1/4 | 180 | 107,5 | 144,1 | 45 | 99,1 | 91 | 2″ | 2,38 |
